【全面解析】12种开关模式电源(SMPS)拓扑结构:非隔离与隔离式详解
2024-06-17 11:11:33 855
开关模式电源(SMPS)使用电力电子器件(如MOSFET、IGBT等)作为开关,在高频下切换电源与负载之间的连接,从而调节输出电压和电流。这种电源的效率通常高于传统的线性电源,并且可以提供更小的体积和更高的功率密度。
开关模式电源的拓扑结构是指其内部组件的布局和连接方式,主要包括电力电子开关、能量存储元件(如电感和电容)、变压器、整流器和反馈控制回路等。不同的拓扑适用于不同的应用场合,主要依据所需的电压转换方向(升压、降压或两者均可)、隔离要求、输入/输出电压范围、功率水平、成本和尺寸等因素来选择。
今天INFINITECH要和大家分享的内容是关于12种开关模式电源的拓扑结构,其中包括详细的电路图、相关的计算公式以及它们的具体应用。
12 种开关模式电源拓扑总结
让我们直接进入主题。在这里,我们将开关模式电源拓扑结构分为两大类:非隔离式和隔离式。接下来,我将分别展示这两类结构的详细图表。

非隔离式拓扑总结

隔离式拓扑总结
下面是关于如何选择开关模式电源拓扑的简单总结:
下面详细介绍每个开关模式电源拓扑。
1、Buck
Buck
BUCK拓扑作为最简单且常见的结构之一,非常适合用作降压型DC-DC转换器。它不仅能够实现高效的能量转换,还能支持高功率的应用场景。然而,BUCK转换器的一个缺点是其输入电流会呈现出断续的状态,这可能会引起较高的电磁干扰(EMI)。不过,通过使用片式磁珠、共模扼流圈和滤波器扼流圈等滤波元件,可以有效地解决EMI问题,从而确保系统的稳定性和可靠性。
Buck电路公式
1)输入输出电压关系
2)通过晶体管开关的电流

3)晶体管开关中的电压

4)通过二极管的电流
5)二极管中的反向电压

2、Boost
Boost
与BUCK拓扑相似,Boost拓扑同样属于非隔离类型,但它的作用是提升电压。Boost拓扑的一个显著特点是,在连续导通模式下工作时,它能够以一种连续而均匀的方式吸收电流,这一特性使得它成为了构建功率因数校正电路的理想选择。
Boost计算公式
1)输入输出电压关系

2)通过晶体管开关的电流
3)晶体管开关中的电压
4)通过二极管的电流
5)二极管中的反向电压

3、Buck-Boost
Buck-Boost
Buck-Boost拓扑结构具备升压和降压的双重功能,这使得它在电池供电的应用中显得尤为实用,因为这类应用中的输入电压会随时间波动,而Buck-Boost拓扑可以灵活应对。不过,这种拓扑结构的输出电压存在反相的局限性,这是它的一个主要缺点。此外,Buck-Boost拓扑的另一个不足之处在于,其开关并非直接接地,这给驱动电路的设计带来了一定的挑战。然而,值得注意的是,只需使用一个电感器,便可以轻松实现Buck-Boost拓扑所需的电感和EMI组件,从而简化了电路设计。
Buck-Boost计算公式
1)输入输出电压关系
2)通过晶体管开关的电流

3)晶体管开关中的电压
4)通过二极管的电流

5)二极管中的反向电压

4、Sepic
Sepic
如果你对Buck-Boost拓扑结构中输出电压相对于输入电压的反相特性感到不满,那么单端初级电感转换器(SEPIC)可能是一个值得考虑的选择。SEPIC是一种DC/DC转换器拓扑,它能够在输入电压从高于输出电压到低于输出电压的范围内变化时,提供稳定的正输出电压。与Buck-Boost拓扑不同,SEPIC不会产生反向电压,这使其成为一种没有反相输出电压的降压/升压转换器拓扑。尽管SEPIC转换器需要一个额外的电感和一个隔直电容来维持正常运行,但其连续的输入电流消耗有助于减少电磁干扰(EMI),这是一个显著的优势。然而,SEPIC拓扑的一个缺点是它需要更大的物理空间,这意味着在设计时需要考虑到更多的布局和尺寸要求。
Sepic计算公式

1)输入输出电压关系
2)通过晶体管开关的电流
3)晶体管开关中的电压

4)通过二极管的电流
5)二极管中的反向电压

5、Ćuk
除了两个电感之外,SEPIC 和 Ćuk 拓扑都使用电容来存储能量。两个电感可以是单独的电感,也可以是耦合电感形式的单个组件。
这两种拓扑与降压-升压拓扑相似,都可以升压或降压输入电压,非常适合电池应用。
SEPIC 相对于 Ćuk 和降压-升压转换器具有额外的优势,因为它的输出是非反相的。SEPIC/Ćuk 拓扑的一个优点是电容可以提供一些有限的隔离。耦合电感可用于 SEPIC 和 Ćuk 拓扑,并且可随时提供定制电感来满足特殊需求。

6、反激式
反激式
反激式本质上是降压-升压拓扑,通过使用变压器作为存储电感来隔离。变压器不仅提供隔离,而且通过改变匝数比,可以调节输出电压。
由于使用了变压器,因此可以进行多个输出。
反激式是低功耗应用中最简单、最常见的拓扑,非常适合高输出电压,但峰值电流非常高,不太适合10A以上的输出电流。
反激式相对于其他隔离拓扑的一个优点是,其中许多拓扑需要单独的存储电感。由于反激式变压器实际上是存储电感,因此不需要单独的电感。
反激式计算公式

1)输入输出电压关系

2)通过晶体管开关的电流
3)晶体管开关中的电压
4)通过二极管的电流
5)二极管中的反向电压

7、正激式
正激式
正激式转换器实际上是一个变压器隔离降压转换器。正激转换器最适合低功耗应用。
虽然效率和反激式相当,但缺点是输出端有一个额外的电感,不太合适高电压输出。当需要高输出电流时,正激转换器与反激转换更有优势。

正激式计算公式

1)输入输出电压关系
2)通过晶体管开关的电流
3)晶体管开关中的电压
4)通过二极管的电流
5)二极管中的反向电压

8、双晶体管正激式
双晶体管正激式
双晶体管拓扑是一种非常可靠的设计,不会因电压尖峰而对晶体管造成压力。
由于输入和输出之间存在隔离,因此双晶体管正激转换器属于初级开关转换器系列。适用于高达数百瓦的输出功率,两个晶体管由脉宽调制控制电压同时导通和截止。
双晶体管正激式计算公式

1)输入输出电压关系
2)通过晶体管开关的电流
3)晶体管开关中的电压
4)通过二极管的电流
5)二极管中的反向电压

9、主动钳位正激式
主动钳位正激式
1)输入输出电压关系
2)通过晶体管开关的电流
3)晶体管开关中的电压
4)通过二极管的电流
5)二极管中的反向电压

10、半桥
半桥
半桥拓扑与推挽拓扑一样,可以很好地扩展到更高的功率级别,并且基于正激转换器拓扑。如果两个开关同时打开,则该拓扑也存在相同的直通电流问题。为了控制这一点,每个开关的导通时间之间需要有一个死区时间。这将占空比限制在 45% 左右。
有利的是,半桥拓扑开关应力等于输入电压,使其更适合 250VAC 和 PFC 应用.
另一方面,输出电流比推挽拓扑高得多,因此不太适合高电流输出。
半桥计算公式
1)输入输出电压关系
2)通过晶体管开关的电流
3)晶体管开关中的电压
4)通过二极管的电流
5)二极管中的反向电压

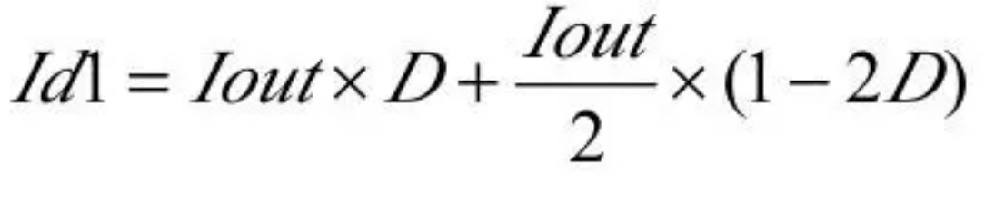
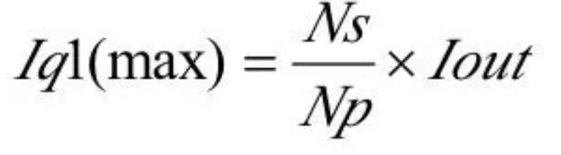
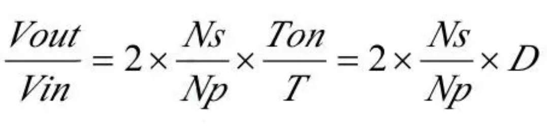
11、Push-Pull
Push-Pull
推挽式拓扑本质上是一种改进版的正向转换器,它通过采用两个初级绕组来创建双驱动绕组,相较于反激式转换器,这种方法能更高效地利用变压器的核心资源。然而,这种方式每次只使用一半的铜线,这可能会显著增加相同尺寸变压器的铜损。在相同的功率水平下,推挽式转换器相比于正激转换器,通常需要更小的滤波器。推挽式转换器相较于反激式和正激式转换器的优势在于,它可以更容易地扩展至更高的功率范围。但是,推挽式转换器的开关控制较为复杂,必须避免同时开启两个开关,否则会在变压器中产生相等且相反的磁通量,导致低阻抗和开关上的巨大直通电流,进而可能损坏开关。此外,推挽式拓扑的另一个缺点是开关承受的电压应力非常高(高达2倍输入电压),这使得它不太适合应用于250VAC及功率因数校正(PFC)场景。
Push-Pull计算公式

1)输入输出电压关系
2)通过晶体管开关的电流
3)晶体管开关中的电压
4)通过二极管的电流
5)二极管中的反向电压

12、全桥
H桥由四个开关组成,用于控制流向负载的电流,这实际上只是用开关控制电流方向的一种方法。
比如说,要反转电机,电源必须反转,这就是 H 桥的作用,H 桥电路最典型的应用也是电机控制。
有多种不同的 H 桥设计,实际电路将取决于晶体管的数量、布局类型、控制线的数量、电桥的电压和许多其他因素。
使用 H 桥时必须非常小心的一件事是不要造成短路。如果发生短路,肯定会烧毁 H 桥。





